• Home
  • Despre MMDB
  • Articole
    • Algoritmi prelucrare imagini
    • Algoritmi extragere caracteristici imagini
      • Caracteristici globale
      • Caracteristicile matricii de co-ocurenta
      • Caracteristici color
      • Filtre Gabor
    • Metode de indexare imagini in baze de date
    • Algortmi de cautare in baze de imagini
  • Cod JAVA
    • Algoritmi prelucrare imagini
    • Algoritmi extragere caracteristici imagini
      • Caracteristici globale
      • Caracteristicile matricii de co-ocurenta
      • Caracteristici color
    • Metode de indexare imagini in baze de date
    • Algortmi de cautare in baze de imagini
  • Baze de date de imagini
    • Grayscale Images Databases
    • Color/Hyperspectral Images
    • Biomedical Images
    • 3D Scanning
    • Biometric Images
  • Solutii implementate
  • Contact

Cautarea vizuala bazata pe continut pe culoare

Written by Super User 25 Mai,2015
Cautarea vizuala bazata pe continut pe culoare

Pentru căutarea vizuală bazată pe conţinut pe culoare este important spaţiul color folosit, nivelul de cuantificare. Aplicaţia noastră foloseşte reprezentarea imaginilor în spaţiul HSV întrucât acesta are proprietatea de a fi complet, compact, natural şi uniform, precum şi cuantificarea acestuia la 166 culori.

Histograma color reprezintă modalitatea tradiţională de descriere a proprietăţilor color ale unei imagini. Are avantajul calculării rapide şi până la un anumit nivel este insenzitiv la rotaţia camerei, zoom, şi modificări de rezoluţie.

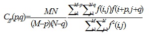
Pentru extragerea caracteristicilor de textură pentru imaginile monocrome, au fost implementaţi doi algoritmi matricile de coocurenţă şi de autocorelare. Pentru a vedea diferenţele dintre imagini, s-a folosit distanţă Euclidiană.

 

Read 1179 times Last modified on 15 Iun,2015
  • Social sharing:
  • Add to Facebook
  • Add to Delicious
  • Digg this
  • Add to StumbleUpon
  • Add to Technorati
  • Add to Reddit
  • Add to MySpace
  • Like this? Tweet it to your followers!
Published in Cautarea in bazele de date multimedia
Tagged under
  • Image processing
  • Multimedia Databases
  • Indexing image databases
  • Textures
Download attachments:
  • ssaa.jpg (552 Downloads)

Leave a comment

Make sure you enter the (*) required information where indicated. HTML code is not allowed.

back to top
  • Contact
  • Termeni si conditii
Copyright © MMDB - Multimedia DataBase 2025 All rights reserved. Custom Design by Youjoomla.com
Home